ANSI | DB2 | SQL/DS | XDB |
---|---|---|---|
X |
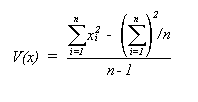
An XDB Server statistical function used for finding the variance of a column of data. The format appears below:
XVAR(x)
where x is a column name. The parameter x must be a numeric field.
Note that XVAR(x) is the same as (XSTDDEV(x))E+2. The formula used for computing variance is: